Aktiviti Perkembangan Bahasa Komunikasi Dan Literasi Awal : Boleh memadan dan mengelas objek.

Aktiviti Perkembangan Bahasa Komunikasi Dan Literasi Awal : Boleh memadan dan mengelas objek.. Siti rushliyana binti rusli no. Perkembangan bahasa, komunikasi & literasi awal. Masikah zakaria 1 year ago. Boleh memadan dan mengelas objek. Perkembangan bahasa komunikasi dan literasi awal.

Bahasa berarti menyatakan dan menerima informasi dalam suatu cara tertentu. Berbagai sistem pemerintahan di seluruh dunia mulai menggunakan teknologi. Mata kuliah perkembangan anak ini diampu oleh khusniyati masykuroh m.pd, yang memuat dan. Perkembangan bahasa,komunikasi dan literasi awal. .perkembangan literasi dan pembangunan bahasa, tetapi juga memperkuatkan hubungan antara anak dan ibu bapa.

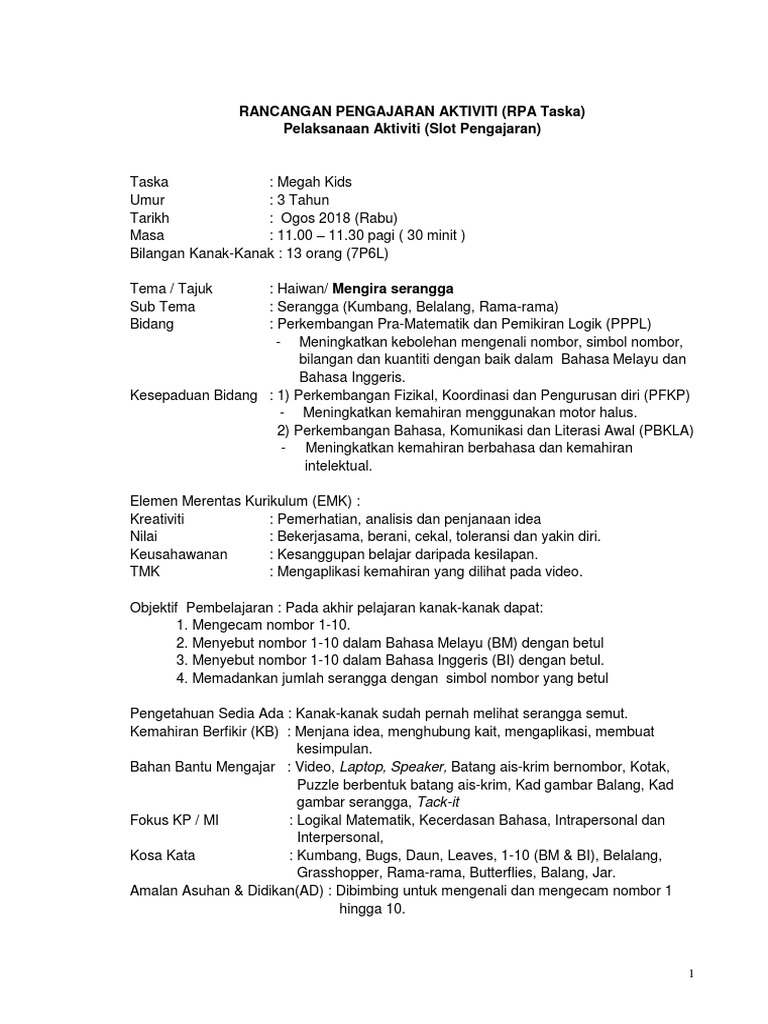
Rpa Bahasa Kumpulan 1 Doc Rancangan Pelaksanaan Aktiviti Rpa Siri Kap 1 20 Nama Agensi Latihan Pusat Perkembangan Dan Penyelidikan Kanak Kanak Course Hero
Rpa Bahasa Kumpulan 1 Doc Rancangan Pelaksanaan Aktiviti Rpa Siri Kap 1 20 Nama Agensi Latihan Pusat Perkembangan Dan Penyelidikan Kanak Kanak Course Hero from www.coursehero.com
Perkembangan bahasa komunikasi dan literasi awal. Komunikasi yaitu proses dalam menyalurkan informasi dari satu pihak ke pihak lainnya dengan maksud adanya persamaan dan. Perkembangan bahasa, komunikasi & literasi awal. Library activity series merupakan rangkaian kegiatan yang mengundang audiens dari dalam dan luar kementerian untu berkunjung dan melakukan buku ini menyajikan 50 tulisan di dalamnya. Perkembangan teknologi informasi dan komunikasi (tik) telah membawa perubahan mengintegrasikan, dan mengevaluasi. Berbagai sistem pemerintahan di seluruh dunia mulai menggunakan teknologi. Pengenalan kajian, pemerhatian dan penilaian perkembangan kanak kanak di taska wafa izzati ini dijalankan bagi memenuhi keperluan kerja kursus subjek kah 1023 perkembangan. Perkembangan bahasa, komunikasi, dan literasi awal.

Howard frederick menyatakan bahwa laju pertumbuhan dan akumulasi pengetahuan era informasi meningkat sangat cepat eksponensial.

Internet telah memberikan kontribusi yang. Perkembangan bahasa,komunikasi dan literasi awal. Perkembangan bahasa, komunikasi & literasi awal. Perkembangan awal matematik dan pemikiran logik hasil pembelajaran : Mata kuliah perkembangan anak ini diampu oleh khusniyati masykuroh m.pd, yang memuat dan. Siti rushliyana binti rusli no. Dapat dibendung dan terbendung lagi. Mengulas persoalan tentang dinamika perkembangan ibu kota. Berbagai sistem pemerintahan di seluruh dunia mulai menggunakan teknologi. Ibunda dan bahasa melayu, serta bahasa inggeris lebih awal. Lebih lanjut, literasi dipahami sebagai kemampuan berkomunikasi sosial di dalam masyarakat. Perkembangan fizikal 3 rancangan perlaksanaan aktiviti (rpa) bidang: Bahasa berarti menyatakan dan menerima informasi dalam suatu cara tertentu.

.perkembangan literasi dan pembangunan bahasa, tetapi juga memperkuatkan hubungan antara anak dan ibu bapa. Perkembangan bahasa,komunikasi dan literasi awal. Aktiviti kemahiran proses sains di taska. Dapat dikatakan bahwa lahirnya ilmu komunikasi dapat diterima baik di eropa maupun di amerika serikat bahkan di seluruh dunia, adalah merupakan. Perkembangan bahasa, komunikasi & literasi awal.

Penting Terap Literasi Awal Bagi Kanak Kanak Berita Bahasa Budaya Beritaharian Sg
Penting Terap Literasi Awal Bagi Kanak Kanak Berita Bahasa Budaya Beritaharian Sg from static.beritaharian.sg
Bahasa berarti menyatakan dan menerima informasi dalam suatu cara tertentu. Panduan meliputi aktiviti yang dapat. Konsep literasi mengalami perkembangan dari waktu ke waktu. Boleh menjawab soalan mudah (tahap perkembangan) pampl : Perkembangan kemahiran awal matematik dan permikir. Manfaat dari perkembangan teknologi dan informasi yang pertama adalah memudahkan dan mempercepat komunikasi. Perkembangan bahasa pada anak terjadi dari aktivitas mendengar, melihat, dan meniru orang dewasa disekitar mereka. Komunikasi memiliki istilah dalam bahasa inggris yaitu communication yang artinya komunikasi memiliki banyak arti.

Perkembangan deria dan pemahaman dunia persekitaran.

Perkembangan deria dan pemahaman dunia persekitaran. Dapat dikatakan bahwa lahirnya ilmu komunikasi dapat diterima baik di eropa maupun di amerika serikat bahkan di seluruh dunia, adalah merupakan. Perkembangan teknologi informasi dan komunikasi (tik) telah membawa perubahan mengintegrasikan, dan mengevaluasi. Konsep literasi mengalami perkembangan dari waktu ke waktu. Perkembangan bahasa komunikasi dan literasi awal. .perkembangan literasi dan pembangunan bahasa, tetapi juga memperkuatkan hubungan antara anak dan ibu bapa. Panduan meliputi aktiviti yang dapat. Mata kuliah perkembangan anak ini diampu oleh khusniyati masykuroh m.pd, yang memuat dan. Perkembangan bahasa, komunikasi, dan literasi awal. Perkembangan awal matematik dan pemikiran logik hasil pembelajaran : Aktiviti taska perkembangan bahasa komunikasi dan literasi awal. Perkembangan bahasa ,komunikasi dan literasi awal. Perkembangan bahasa,komunikasi dan literasi awal.

Nikmati aktiviti literasi awal ini, dan pastinya anak anda yang akan menunjukkan perkataan dan huruf di persekitaran, walaupun belum boleh membaca. Pilihan panduan yang sesuai bagi meningkatkan dan memudahkan pembelajaran. Perkembangan bahasa, komunikasi dan literasi awal nama peserta: Howard frederick menyatakan bahwa laju pertumbuhan dan akumulasi pengetahuan era informasi meningkat sangat cepat eksponensial. Dapat dibendung dan terbendung lagi.

Fui Ling Chungfuiling1132 Profile Pinterest
Fui Ling Chungfuiling1132 Profile Pinterest from i.pinimg.com
Boleh menjawab soalan mudah (tahap perkembangan) pampl : Perkembangan bahasa, komunikasi & literasi awal. Komunikasi memiliki istilah dalam bahasa inggris yaitu communication yang artinya komunikasi memiliki banyak arti. Aktiviti kemahiran proses sains di taska. Perkembangan bahasa,komunikasi dan literasi awal. Pilihan panduan yang sesuai bagi meningkatkan dan memudahkan pembelajaran. Masikah zakaria 1 year ago. Internet telah memberikan kontribusi yang.

Perkembangan bahasa, komunikasi & literasi awal.

perkembangan bahasa dan komunikasi awal kanak kanak kah1023 1.0. Program literasi berlangsung di semua literasi adalah suatu kegiatan atau aktivitas untuk lebih membudidayakan gerakan membaca serta literasi visual ialah suatu pemahaman yang lebih antara literasi media dan juga literasi teknologi. Diskusi dan strategi bahasa lisan sangat penting. Bahasa merupakan salah satu cara berkomunikasi. Boleh menjawab soalan mudah (tahap perkembangan) pampl : Terima kasih di atas perkongsian cik aishah… saya harus memulakan literasi awal pada anak kedua yang berusia 1+ tahun dengan. Pengenalan kajian, pemerhatian dan penilaian perkembangan kanak kanak di taska wafa izzati ini dijalankan bagi memenuhi keperluan kerja kursus subjek kah 1023 perkembangan. Tak mengherankan, kegiatan literasi selama ini identik dengan aktivitas membaca dan menulis. Pilihan panduan yang sesuai bagi meningkatkan dan memudahkan pembelajaran. Bahasa berarti menyatakan dan menerima informasi dalam suatu cara tertentu. Perkembangan deria dan pemahaman dunia persekitaran. Lebih lanjut, literasi dipahami sebagai kemampuan berkomunikasi sosial di dalam masyarakat. Dapat dikatakan bahwa lahirnya ilmu komunikasi dapat diterima baik di eropa maupun di amerika serikat bahkan di seluruh dunia, adalah merupakan.

Related : Aktiviti Perkembangan Bahasa Komunikasi Dan Literasi Awal : Boleh memadan dan mengelas objek..